Now loading.
Please wait.

menu

//-->

Pipes

HomepagesLeft Sidebar

 

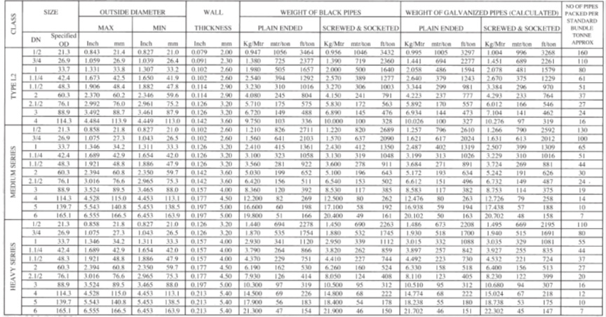
Hi Tech Steels Industries are manufacturing Black & Hot Dip Galvanized steel pipes conforming to ASTMA53 GRADE A & G SCH-40 and EN 10255:2004 Standards. The technical details are as follows